0. 들어가기
유튜브를 너무 많이 본다.
개인적 경험이지만, 유튜브 시청이 너무 길어지면 휴식이 아니라 오히려 에너지 소모가 될 때가 있었는데 요 근래 종종 소모적인 유튜브 시청이 많아지는 것 같아 확인하고 개선해보려 한다.
개선을 위해선 현실을 파악해야 하기 때문에 정확한 상황을 유튜브 시청 데이터를 통해 파악했다.
갤럭시 자체 기능 중에 시간대별 앱 사용 시간을 확인할 수 있는 기능도 있지만, 좀더 분석해보고 싶어 직접 raw데이터를 다운받아 진행했다.
"그냥 줄이면 되지 않나?" 싶을 수 있지만,
1) 실생활 데이터로 해보는 데이터 분석
2) 측정을 통한 꾸준한 관리
3) 무의식적인 노력
을 얻을 수 있다고 생각해 굳이 분석을 진행 했다.
목적 : 유튜브 시청 패턴을 파악하고 시청 시간을 줄일 수 있는 효과적인 방법을 찾아보자.
1. 데이터 준비
처음에 접근한 방법은 유튜브 시청기록 페이지에서 파싱을 해올 생각이었다.

하지만, 코랩 분석 환경 + 로그인의 수고로움을 차마 뚫을 자신이 없어 좀더 쉬운 방법을 찾아보니 역시 갓글은 데이터를 친절하게도 다운로드 할 수 있는 기능이 있었다.

구글의 테이크아웃 기능을 통해 유튜브 시청 데이터를 가져왔다. 아쉽게도 데이터 기간을 설정하는 기능은 없고, 그냥 유튜브 계정 시작부터 오늘까지 모든 시청 데이터를 다 아카이브 해 다운로드 할 수 있게 해뒀다. 때문에 시청기록이라고 해도 사이즈가 어마어마하게 크다.

원본은 너무 크기 때문에, 최근 3개월 시청 데이터만 두고 유튜브 시청 기록을 삭제한 후에 데이터를 다운로드했다.(그래도 30MB..) 이후 압축 푼 시청 기록 HTML 파일만 코랩에 업로드 해 분석 했다.

Raw 데이터는 이렇게 생겼다. 시청 시간이 기록되지 않아 조금 아쉬웠지만, 일단 구조가 단순해 전처리를 시작했다.

2. 데이터 분석 결과
(1) 기본 통계


가비지라면 가비지겠지만, 자동 재생된 광고 영상이 압도적으로 많다. 콘텐츠 시작 전에 재생되는 광고영상이 아니라 어떤 영상을 볼지 서치하는 과정에서 유튜브를 스크롤 다운 하면서 자동으로 재생되는 광고 영상이다. 즉, 어마어마한 시간을 스크롤 다운에 쓰고 있는게 아닐까 싶다.
(2) 요일별 통계


(4) 시간대별 요일 비교 분석


큰 차이는 없었지만, 업무 시간 대에 유튜브 음악을 듣지 않다보니 상대적으로 주말 시간대에 많이 낮아짐을 볼 수 있다. 하지만,, 19시 이후엔 역시나 높은 횟수를 보이고 있다.
(5) 구독 여부별 콘텐츠 시청 횟수

예상은 했지만 처참하다.. 거의 5배에 가까운 비율이다. 알고리즘에 아주 효과적으로 휘둘리고 있나보다.

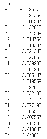
(6) 전체 이용 횟수와 시간대 상관관계

어떤 시간대가 전체 합계와 상관관계가 가장 높은지 살펴봤다. 잠들기 전, 저녁먹고 난 후, 업무 시작한 후, 점심 먹고 난 후였다. 아마 집중력이 흩뜨려진 채로 습관처럼 유튜브 콘텐츠를 소비하는 듯 하다.
2. 결론 및 제언
(1) 이용 형태
- 자동재생 되는 광고 영상이 높은 비중 차지
- 구독한 유튜브 외 알고리즘 추천 영상의 비중이 절대 다수
- 주말보다 주중에 이용 횟수가 더욱 많음
- 저녁 시간 보다 오전/오후 시간대 이용 횟수 비중 높음
- 특히 식사 이후, 취침 전 이용 횟수가 전체 이용 횟수와 연관성이 높음
(2) 적용 방안
- 콘텐츠 제한 : 구독한 유튜버(+관심 있던 유튜버) 제외 하고 '관심 없음' 누르기
- 시간 제한 : 14 -15시, 19-20시, 23-34시 사용 시간 제한 설정
- 자동 재생 해제
-> 2월 한 달 동안 적용해보고 결과 확인할 예정
3. 나가며
지난 번 시간 관리 프로젝트 이후로 오랜만에 내 시간 자원이 어떻게 쓰였는지 객관적으로 살펴볼 시간이었다. 특히 압도적으로 높은 비율을 차지했던 유튜브 데이터를 분석해보며 하루를 재조명 할 수 있었다. 아쉬운 점은 시청 시간이나 시청한 콘텐츠의 분류 데이터가 있었다면 좀더 정성적인 분석이 가능했을 것 같은데, 이 부분은 데이터 수집 방법을 보완해서 진행해볼 예정이다.
댓글